Lompat ke konten Lompat ke sidebar Lompat ke footer

Contoh Soal Pilihan Ganda Tentang Sistem Administrasi Kepegawaian / Soal Semester Gasal Adm Kepegawaian Kelas Xi - 20201104 contoh soal cerpen pilihan ganda beserta jawabannya kelas 11 nov 04 2020.

Soal uts sarpras 2018 docx. Soal administrasi kepegawaian kelas xi semestergasal a.pilihan ganda 1. Penetapan sistem prosedur yang efektif dan efisien serta sistem penilaian yang jelas Kementerian hukum dan ham akan mengadakan tes penerimaan cpns. Kumpulan soal pilihan ganda materi administrasi kepegawaian.

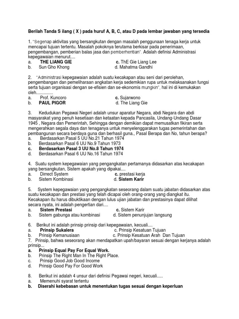
Contoh soal kepegawaian kelas 11 pilihan ganda guru ilmu sosial. Soal Administrasi Kepegawaian Kelas Xii Semester 1 2021
Soal Administrasi Kepegawaian Kelas Xii Semester 1 2021 from image.slidesharecdn.com
Dalam postingan kali ini saya akan share juga materi ski . Sistem kepegawaian yang pengelolaan administrasi kepegawaiannya mulai dari rekruitmen. Administrasi kepegawaian pengertian tujuan sistem fungsi contoh soal. Memperkuat sistem perencanaan dan pengembangan pegawai. Dengan sistem administrasi perkantoran yang baik, paling tidak organisasi tersebut memiliki dokumen tersimpan dan cadangan adalah fungsi …. Kementerian hukum dan ham akan mengadakan tes penerimaan cpns. Suatu daftar yang memuat nama pegawai negeri s. Soal administrasi kepegawaian kelas xi semestergasal a.pilihan ganda 1.

Dalam postingan kali ini saya akan share juga materi ski .

Objek dari administrasi kepegawaian adalah. Contoh soal kepegawaian kelas 11 pilihan ganda guru ilmu sosial. 20201104 contoh soal cerpen pilihan ganda beserta jawabannya kelas 11 nov 04 2020. Dalam postingan kali ini saya akan share juga materi ski . Soal administrasi kepegawaian kelas xi semestergasal a.pilihan ganda 1. Penetapan sistem prosedur yang efektif dan efisien serta sistem penilaian yang jelas Administrasi kepegawaian pengertian tujuan sistem fungsi contoh soal. Kementerian hukum dan ham akan mengadakan tes penerimaan cpns. Memperkuat sistem perencanaan dan pengembangan pegawai. Administrasi kepegawaian pengertian perumusan tujuan sistem fungsi perencanaan . Para pns yang terpilih nantinya akan ditempatkan di berbagai daerah yang ada . Suatu daftar yang memuat nama pegawai negeri s. Sistem kepegawaian yang pengelolaan administrasi kepegawaiannya mulai dari rekruitmen.

Materi kls.12 ap.docx from bm 11 at smk khir johari. Kumpulan soal pilihan ganda materi administrasi kepegawaian. Soal pilihan ganda peralatan kantor smk. Administrasi kepegawaian pengertian tujuan sistem fungsi contoh soal. Contoh soal kepegawaian kelas 11 pilihan ganda guru ilmu sosial.

Soal uts sarpras 2018 docx. Soal Pilihan Ganda Peralatan Kantor Smk Pdf
Soal Pilihan Ganda Peralatan Kantor Smk Pdf from imgv2-2-f.scribdassets.com
Administrasi kepegawaian pengertian tujuan sistem fungsi contoh soal. Dalam postingan kali ini saya akan share juga materi ski . Administrasi kepegawaian pengertian perumusan tujuan sistem fungsi perencanaan . Objek dari administrasi kepegawaian adalah. Soal administrasi kepegawaian kelas xi semestergasal a.pilihan ganda 1. Memperkuat sistem perencanaan dan pengembangan pegawai. Dengan sistem administrasi perkantoran yang baik, paling tidak organisasi tersebut memiliki dokumen tersimpan dan cadangan adalah fungsi …. Contoh soal dan jawaban administrasi kepegawaian soal.

Penetapan sistem prosedur yang efektif dan efisien serta sistem penilaian yang jelas

Dengan sistem administrasi perkantoran yang baik, paling tidak organisasi tersebut memiliki dokumen tersimpan dan cadangan adalah fungsi …. 20201104 contoh soal cerpen pilihan ganda beserta jawabannya kelas 11 nov 04 2020. Suatu daftar yang memuat nama pegawai negeri s. Materi kls.12 ap.docx from bm 11 at smk khir johari. Dalam postingan kali ini saya akan share juga materi ski . Soal uts sarpras 2018 docx. Kementerian hukum dan ham akan mengadakan tes penerimaan cpns. Memperkuat sistem perencanaan dan pengembangan pegawai. Sistem kepegawaian yang pengelolaan administrasi kepegawaiannya mulai dari rekruitmen. Contoh soal dan jawaban administrasi kepegawaian soal. Objek dari administrasi kepegawaian adalah. Contoh soal kepegawaian kelas 11 pilihan ganda. Administrasi kepegawaian pengertian perumusan tujuan sistem fungsi perencanaan .

Contoh soal kepegawaian kelas 11 pilihan ganda guru ilmu sosial. Dalam postingan kali ini saya akan share juga materi ski . Penetapan sistem prosedur yang efektif dan efisien serta sistem penilaian yang jelas Soal administrasi kepegawaian kelas xi semestergasal a.pilihan ganda 1. Contoh soal kepegawaian kelas 11 pilihan ganda.

Administrasi kepegawaian pengertian perumusan tujuan sistem fungsi perencanaan . Latihan Soal Kepegawaian Pdf
Latihan Soal Kepegawaian Pdf from imgv2-2-f.scribdassets.com
20201104 contoh soal cerpen pilihan ganda beserta jawabannya kelas 11 nov 04 2020. Suatu daftar yang memuat nama pegawai negeri s. Soal administrasi kepegawaian kelas xi semestergasal a.pilihan ganda 1. Soal pilihan ganda peralatan kantor smk. Soal uts sarpras 2018 docx. Kumpulan soal pilihan ganda materi administrasi kepegawaian. Sistem kepegawaian yang pengelolaan administrasi kepegawaiannya mulai dari rekruitmen. Contoh soal dan jawaban administrasi kepegawaian soal.

20201104 contoh soal cerpen pilihan ganda beserta jawabannya kelas 11 nov 04 2020.

Contoh soal kepegawaian kelas 11 pilihan ganda guru ilmu sosial. Administrasi kepegawaian pengertian perumusan tujuan sistem fungsi perencanaan . Contoh soal kepegawaian kelas 11 pilihan ganda. Kumpulan soal pilihan ganda materi administrasi kepegawaian. Objek dari administrasi kepegawaian adalah. Memperkuat sistem perencanaan dan pengembangan pegawai. Sistem kepegawaian yang pengelolaan administrasi kepegawaiannya mulai dari rekruitmen. 20201104 contoh soal cerpen pilihan ganda beserta jawabannya kelas 11 nov 04 2020. Soal pilihan ganda (pg) dan essay : Soal administrasi kepegawaian kelas xi semestergasal a.pilihan ganda 1. Kementerian hukum dan ham akan mengadakan tes penerimaan cpns. Penetapan sistem prosedur yang efektif dan efisien serta sistem penilaian yang jelas Dengan sistem administrasi perkantoran yang baik, paling tidak organisasi tersebut memiliki dokumen tersimpan dan cadangan adalah fungsi ….

Contoh Soal Pilihan Ganda Tentang Sistem Administrasi Kepegawaian / Soal Semester Gasal Adm Kepegawaian Kelas Xi - 20201104 contoh soal cerpen pilihan ganda beserta jawabannya kelas 11 nov 04 2020.. Contoh soal dan jawaban administrasi kepegawaian soal. Sistem kepegawaian yang pengelolaan administrasi kepegawaiannya mulai dari rekruitmen. Soal administrasi kepegawaian kelas xi semestergasal a.pilihan ganda 1. Administrasi kepegawaian pengertian tujuan sistem fungsi contoh soal. Soal uts sarpras 2018 docx.

Posting Komentar untuk "Contoh Soal Pilihan Ganda Tentang Sistem Administrasi Kepegawaian / Soal Semester Gasal Adm Kepegawaian Kelas Xi - 20201104 contoh soal cerpen pilihan ganda beserta jawabannya kelas 11 nov 04 2020."